이론
최단 경로 알고리즘이란?
- Shortest Path; 가장 짧은 경로를 찾는 알고리즘
- 길 찾기 문제
- 다양한 종류가 있고, 상황에 맞는 효율적인 알고리즘이 이미 정립되어 있음
- 한 지점에서 다른 특정 지점까지의 최단 경로를 구해야 하는 경우
- 모든 지점에서 다른 모든 지점까지의 최단 경로를 모두 구해야 하는 경우
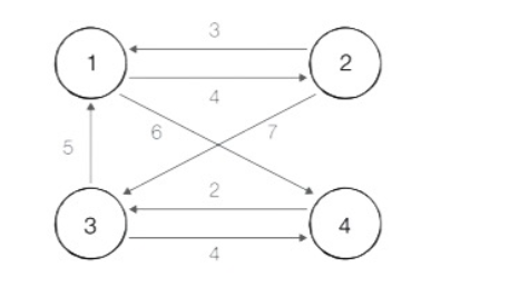
표현
- 주로 그래프를 이용해 표현함
- 각 지점 ⇒ 노드
- 지점 간 연결된 도로 ⇒ 간선
- (사진)
코테에서의 최단 거리 알고리즘 유형
- 컴공 학부 수준
- 다익스트라 최단 경로 알고리즘
- 플로이드 워셜 알고리즘
- 벨만 포드 알고리즘
- 코테에 많이 등장하는 유형
- 다익스트라 최단 경로 알고리즘
- 플로이드 워셜 알고리즘
- 그리디 알고리즘과 DP 알고리즘은 최단 경로 알고리즘에 그대로 적용된다
- 최단 경로가 그리디 및 DP 알고리즘의 한 유형으로 볼 수 있음
다익스트라 최단 경로 알고리즘
정의
- Dijkstra; 그래프에서 여러 개의 노드가 있을 때, 특정한 노드에서 출발하여 다른 노드로 가는 각각의 최단 경로를 구해주는 알고리즘
- 다익스트라는 ‘음의 간선’이 없을 때 정상적으로 동작한다.
- 음의 간선: 0보다 작은 값을 가지는 간선
- 현실 세계의 길(간선)은 음의 간선으로 표현되지 않으므로, 실제 GPS 소프트웨어의 기본 알고리즘에 다익스트라가 채택되곤 함
- 다익스트라는 기본적으로 그리디 알고리즘으로 분류된다
- 매번 ‘가장 비용이 적은 노드’를 선택해서 임의의 과정을 반복하기 때문
알고리즘 원리
- 출발 노드를 설정한다.
- 최단 거리 테이블을 초기화한다.
- 방문하지 않은 노드 중에서 최단 거리가 가장 짧은 노드를 선택한다.
- 해당 노드를 거쳐 다른 노드로 가는 비용을 계산하여 최단 거리 테이블을 갱신한다.
- 위 과정에서 3과 4번을 반복한다.
- 최단 거리 테이블
- ‘각 노드에 대한 현재까지의 최단 거리’ 정보를 저장하는 1차원 리스트
- 최단 경로를 구하는 과정에서 계속해서 갱신함
- 매번 현재 처리하고 있는 노드를 기준으로 주변 간선을 확인한다.
- 나중에 현재 처리하고 있는 노드와 인접한 노드로 도달하는 더 짧은 경로를 찾으면 ‘더 짧은 경로도 있었네? 이제부터는 이 경로가 제일 짧은 경로야’라고 판단하는 것이다.
- 따라서 ‘방문하지 않은 노드 중에서 현재 최단 거리가 가장 짧은 노드를 확인’해 그 노드에 대하여 4번 과정을 수행한다는 점에서 그리디로 볼 수 있다.
다익스트라 구현 방법
- 방법1. 구현하기 쉽지만 느리게 동작하는 코드
- 방법2. 구현하기 조금 더 까다롭지만 빠르게 동작하는 코드
- 2를 정확히 이해하고 구현할 수 있을 때까지 연습해야 한다.
- 최단 경로 알고리즘을 응용해서 풀 수 있는 고난이도 문제들이 많다.
다익스트라 알고리즘 동작 원리
1번 노드에서 다른 모든 노드로 가는 최단 경로를 구하는 문제

출발 노드는 1, 다른 모든 노드로 가는 최단 거리를 '무한'으로 초기화.
* 이때 무한은 코드로 int(1e9)로 표현 할 수 있다.
step 0.
- 방문하지 않은 노드 . 중최단 거리가 가장 짧은 노드 선택 -> 출발 노드 본인 선택 (거리 0)

step 1.
1번 노드를 거쳐 다른 노드로 가는 비용 계산 => 1번 노드와 연결된 모든 간선을 하나씩 확인
2번 노드: 0+2 / 3번 노드: 0+5 / 4번 노드: 0+1
무한으로 되어 있던 각 노드의 비용을 무한보다 더 짧은 경로를 찾았으므로 새로 갱신

step 2.
이후 반복해서 방문하지 않은 노드 중에서 최단 거리가 가장 짧은 노드 선택 => 4번 노드 선택
4번 노드를 거쳐서 갈 수 있는 노드 확인 -> 3, 5번
3번 노드: 1+3 / 5번 노드: 1+1
각각으로 가는 최소 비용이 위와 같으므로 리스트 갱신

step 3.
2번 노드 선택 - 2번과 4번 노드까지의 최단 거리가 2로 값이 같은데 이럴때 일반적으로 번호가 작은 노드를 선택
2번 노드를 거쳐서 갈 수 있는 노드 중에서 거리가 더 짧은 경우가 있는지 확인 -> 없음
2번-3번: 5(2+3) > 3번: 4
이미 3번 노드까지의 최단 거리가 더 작으므로 갱신하지 않음


step 4.
5번 노드 선택 -> 3, 6번 노드 갈 수 있음
5-3번: 3(2+1) / 5-6번: 4(2+2)
3번으로 가는 거리(3)가 기존 값인 4보다 작으므로 갱신.
6번으로 가는 거리(4)가 기존 값인 무한보다 작으므로 갱신.

step 5.
3번 노드 선택 -> 위의 과정 반복

step 6.
6번 노드 선택 -> 위의 과정 반복 -> 최종 최단 테이블

- 최단 거리 테이블: 1번 노드로부터 출발했을 때 2, 3, 4, 5, 6번 노드까지 가기 위한 최단 경로가 각각 0, 2, 3, 1, 2, 4
- 다익스트라 최단 경로 알고리즘: 방문하지 않은 노드 중에서 가장 최단 거리가 짧은 노드를 선택하는 과정을 반복 -> 이렇게 선택된 노드는 최단 거리가 완전히 선택된 노드이므로 더 이상 알고리즘을 반복해도 최단 거리가 줄지 않음.
- 위의 예시에서 실제로 한번 선택된 노드는 최단 거리가 감소하지 않음 (step 2에서 4번이 선택된 이후로 4번 최단 거리는 줄지 않음)
=> 다익스트라 알고리즘이 진행되면서 한 단계당 하나의 노드에 대한 최단 거리를 확실히 찾음
- 때문에 마지막 노드에 대해서는 해당 노드를 거쳐 다른 노드로 가는 경루를 확인할 필요가 없다.
다익스트라 알고리즘 구현1 - 간단
- 시간 복잡도 O(V^2)를 가짐 (V는 노드의 개수)
- 처음에 각 노드에 대한 최단 거리를 담는 1차원 리스트를 선언함
- 이후 단계마다 '방문하지 않은 노드 중에서 최단 거리가 가장 짧은 노드를 선택'하기 위해 매 단계마다 1차원 리스트의 모든 원소를 확인(순차 탐색)한다.
import sys
input = sys.stdin.readline
INF = int(1e9)
n,m = map(int, input().split())
start = int(input())
graph = [[] for i in range(n+1)]
visited = [False] * (n+1)
distance = [INF] * (n+1)
# 모든 간선 정보 입력받기
for _ in range(m):
a,b,c = map(int, input().split())
# a번 노드에서 b번 노드로 가는 비용이 c라는 의미
graph[a].append((b,c))
# 방문하지 않은 노드 중에서 가장 최단 거리가 짧은 노드의 번호 반환
def get_smallest_node():
min_value = INF
index = 0
for i in range(1, n+1):
if distance[i] < min_value and not visited[i]:
min_value = distance[i]
index = i
return index
def dijkstra(start):
distance[start] = 0
visited[start] = True
for j in graph[start]:
cost = distance[j[0]] + j[1]
if cost < distance[j[0]]:
distance[j[0]] = cost
# 다익스트라 알고리즘 수행
dijkstra(start)
for i in range(1, n+1):
if distance[i] == INF:
print("INFINITY")
else:
print(distance[i])

- 총 O(V)번에 걸쳐서 최단 거리가 가장 짧은 노드를 매번 선형 탐색해야 하고, 현재 노드와 연결된 노드를 매번 일일이 확인하기 때문에 O(V^2)의 시간 복잡도를 가짐
- 노드의 개수가 10,000개를 넘어가는 문제라면 이 코드로 해결할 수 없음 -> 개선된 다익스트라 알고리즘 이용!
다익스트라 알고리즘 구현2 - 개선
- 개선된 다익스트라 알고리즘의 최악의 경우에도 O(ELogV)의 시간 복잡도를 보장함 (V는 노드의 개수, E는 간선의 개수)
- 간단한 다익스트라에서 매번 최단 거리 테이블을 선형적으로 탐색해야 했지만 (이 과정에서 O(V) 걸림), 최단 거리가 가장 짧은 노드를 더 빠르게 찾으면 시간 복잡도를 줄일 수 있음 -> 힙 자료구조 사용
- 힙 자료구조를 이용하면 특정 노드까지의 최단 거리에 대한 정보를 담아 처리하므로 출발 노드로부터 가장 거리가 짧은 노드를 더욱 빠르게 찾을 수 있음 -> 선형 시간이 아닌 로그 시간이 걸림
힙
- 힙 자료구조는 우선순위 큐(Priority Queue)를 구현하기 위해 사용하는 자료구조 . 중하나
- 우선순위 큐는 우선순위가 가장 높은 데이터를 가장 먼저 삭제함
- 데이터를 우선순위에 따라 처리하고 싶을 때 사용
- ex) 여러 개의 물건 데이터를 자료구조에 넣었다가 가치가 높은 물건 데이터부터 꺼내서 확인해야 하는 경우
- 파이썬: PriorityQueue 또는 heapq 사용 (heapq가 . 더빠르게 동작)
- 우선순위 값을 표현할 때 정수형 자료형의 변수가 사용됨
- 우선순위 큐를 구현할 때는 내부적으로 최소 힙 혹은 최대 힙을 이용함
- 최소 힙: 값이 낮은 데이터가 먼저 삭제됨
- 최대 힙: 값이 큰 데이터가 먼저 삭제됨
- 파이썬은 기본적으로 최소 힙 구조 이용 -> 다익스트라에서는 그대로 사용하면 됨 (비용 적은 것부터 방문)
- 우선순위 큐를 이용해서 시작 노드로부터 '거리'가 짧은 노드 순서대로 큐에서 나올 수 있도록 함
우선순위 큐 개념
- 각 원소를 거리가 짧은 순서대로 왼쪽부터 나열
- 우선순위 큐를 적용하여도 다익스트라 알고리즘이 동작하는 기본 원리는 동일함
- 최단 거리를 저장하기 위한 1차원 리스트(최단 거리 테이블)는 그대로 이용하고, 현재 가장 가까운 노드를 저장하기 위한 목적으로만 우선순위 큐를 추가롤 이용하는 것
step 0.
- 1번 노드가 출발 노드 / 나머지 모든 노드의 최단 거리는 무한으로 설정
- 우선순위 큐에 1번 노드를 넣음. 거리는 0 => (거리:0, 노드:1)를 우선순위 큐에 넣음
- 파이썬에서는 튜플(0,1)을 넣으면 첫 번째 원소를 기준으로 우선순위 큐를 구성함


step 1.
- 거리가 가장 짧은 노드를 선택하기 위해서는 우선순위 큐에서 그냥 노드를 꺼내면 됨
- 기본적으로 거리가 짧은 원소가 우선순위 큐의 최상위 원소로 위치함
- 우선순위 큐에서 노드를 꺼낸 뒤 해당 노드를 이미 처리한 적이 있다면 무시하면 되고, 아직 처리하지 않은 노드만 처리하면 됨
- step 1에선 (0,1)이 나옴. -> 1번 노드까지 가는 최단 거리가 0이라는 의미
- 1번 노드를 거쳐 2,3,4번 노드로 가는 최소 비용 계산 : 각각 2(0+2), 5(0+5), 1(0+1)이므로 각각 갱신한다.
- 이렇게 더 짧은 경로를 찾은 노드 정보들은 다시 우선순위 큐에 넣음

step 2.
- 다시 우선순위 큐에서 원소를 꺼내서 동일한 과정을 반복함 -> (1,4)가 추출됨
- 아직 노드 4를 방문하지 않았고 현재 최단 거리가 가장 짧은 노드가 4이므로 노드 4를 기준으로 노드 4와 연결된 간선들을 확인함
- 3,5번 노드로 가는 최소 비용: 각각 4(1+3), 2(1+1) 이다.
- 기존(5,무한)보다 작으므로 리스트 갱신되고, 우선순위 큐에 (4,3), (2,5)가 들어감

step 3.
- 노드 2에 대해 처리함.
- 2번 노드를 거쳐서 가는 경우 중 현재의 최단 거리를 더 짧게 갱신할 수 있는 방법은 없음
- 따라서 우선순위 큐에 어떠한 원소도 들어가지 않고 리스트 갱신됨

step 4.
- 노드 5 처리.
- 3, 6번 노드: 3(2+1), 4(2+2) -> 기존 값인 4, 무한보다 작으므로 갱신됨
- (3,3), (4,6)이 우선순위 큐에 들어감


step 5.
- 원소 (3,3)을 꺼내서 3번 노드를 기준으로 알고리즘 수행. 최단 거리 테이블은 갱신되지 않음

step 6.
- (4,3)을 꺼내서 3번 노드를 기준으로 알고리즘 수행
- 다만 3번 노드는 이미 처리된 적이 있기 때문에 (4,3)이라는 원소는 무시

step 7.
- (4,6) 꺼내짐. 6번 노드에 대해 처리.

step 8.
- 마지막으로 남은 원소를 꺼내지만 이미 처리된 노드이므로 무시

- 모든 단계를 거친 후 최단 거리 테이블에 남아있는 0, 2, 3, 1, 2, 4가 각 노드로의 최단 거리임
- 1번 방법보다 훨씬 빠르게 동작함
- heapq의 데이터 개수가 N개일 때, 하나의 데이터를 삽입 삭제할 때의 시간 복잡도는 O(logN)
- 1번 코드와 비교해, get_smallest_node() 함수를 작성하지 않아도 됨
- 최단 거리가 가장 짧은 노드를 선택하는 과정을 다익스트라 최단 경로 함수 안에서 우선순위 큐를 이용하는 방식으로 대체함
import heapq
import sys
input = sys.stdin.readline
INF = int(1e9) # 무한을 의미하는 값으로 10억을 설정
# 노드의 개수, 간선의 개수를 입력받기
n, m = map(int, input().split())
# 시작 노드 번호를 입력받기
start = int(input())
# 각 노드에 연결되어 있는 노드에 대한 정보를 담는 리스트를 만들기
graph = [[] for i in range(n + 1)]
# 최단 거리 테이블을 모두 무한으로 초기화
distance = [INF] * (n + 1)
# 모든 간선 정보를 입력받기
for _ in range(m):
a, b, c = map(int, input().split())
# a번 노드에서 b번 노드로 가는 비용이 c라는 의미
graph[a].append((b, c))
def dijkstra(start):
q = []
# 시작 노드로 가기 위한 최단 경로는 0으로 설정하여, 큐에 삽입
heapq.heappush(q, (0, start))
distance[start] = 0
while q: # 큐가 비어있지 않다면
# 가장 최단 거리가 짧은 노드에 대한 정보 꺼내기
dist, now = heapq.heappop(q)
# 현재 노드가 이미 처리된 적이 있는 노드라면 무시
if distance[now] < dist:
continue
# 현재 노드와 연결된 다른 인접한 노드들을 확인
for i in graph[now]:
cost = dist + i[1]
# 현재 노드를 거쳐서, 다른 노드로 이동하는 거리가 더 짧은 경우
if cost < distance[i[0]]:
distance[i[0]] = cost
heapq.heappush(q, (cost, i[0]))
# 다익스트라 알고리즘을 수행
dijkstra(start)
# 모든 노드로 가기 위한 최단 거리를 출력
for i in range(1, n + 1):
# 도달할 수 없는 경우, 무한(INFINITY)이라고 출력
if distance[i] == INF:
print("INFINITY")
# 도달할 수 있는 경우 거리를 출력
else:
print(distance[i])

- 시간 복잡도가 간단한 버전보다 훨씬 빠르다 O(ElogV)
- 한 번 처리된 노드는 더 이상 처리되지 않음
플로이드 워셜 알고리즘
- 한 지점에서 다른 특정 지점까지의 최단 경로를 구해야 하는 경우에 사용할 수 있는 최단 경로 알고리즘
- 모든 지점에서 다른 모든 지점까지의 최단 경로를 모두 구해야 하는 경우에 사용할 수 있음
- 플로이드 워셜도 다익스트라처럼 단계마다 '거쳐 가는 노드'를 기준으로 알고리즘을 수행하지만, 매번 방문하지 않은 노드 중에서 최단 거리를 갖는 노드를 찾을 필요가 없다.
- 노드의 개수가 N개일 때 알고리즘 상으로 N번의 단계를 수행하며 단계마다 O(N^2)의 연산을 통해 현재 노드를 거쳐가는 모든 경로를 고려함
- 시간 복잡도는 O(N^3)
- 최단 거리 정보를 2차원 리스트에 저장함 - 모든 노드에 대하여 다른 모든 노드로 가는 최단 거리 정보를 담아야 하기 때문
- 2차원 리스트를 처리해야 하므로 N번의 단계에서 매번 O(N^2)의 시간이 소요됨
- 다익스트라는 그리디이지만, 플로이드 워셜은 다이나믹 프로그래밍임
- 노드의 개수가 N이라고 할 때, N번 만큼의 단계를 반보갛며 '점화식에 맞게' 2차원 리스트를 갱신하기 때문
- 각 단계에서는 해당 노드를 거쳐 가는 경우를 고려
- 1번 노드를 확인할 때: 1번 노드를 중간에 거쳐 지나가는 모든 경우를 고려
- A -> 1번 노드 -> B 로 가는 비용 확인 후, 최단 거리 갱신
- 구체적인 K번의 단계에 대한 점화식

- 전체적으로 3중 반복문을 이용하여 이 점화식에 따라 최단 거리 테이블을 갠신하면 됨
- 현재 확인하고 있는 노드를 제외하고, N-1 개의 노드 중에서 서로 다른 노드 (A,B) 쌍을 선택함
- A에서 B로 가는 최소 비용과 A에서 K를 거쳐 B로 가는 비용을 비교하여 더 작은 값으로 갱신한다
- 바로 이동하는 거리가 특정한 노드를 거쳐서 이동하는 거리보다 더 많은 비용을 가진다면 이를 더 짧은 것으로 갱신함

- 초기 상태에서 연결된 간선은 단순히 그 값을 넣고, 연결되지 않은 간선은 무한을 넣음
- Dab는 a에서 b로 가는 최단 거리

step 1.
- 1번 노드를 거쳐 가는 경우 고려
- 6 = 3P2 가지 경우에 대해서만 고려하고 하나씩 확인해 계산해 갱신


- 6가지 식을 모두 계산해서 값을 갱신하면 다음과 같다

step 2.
- 2번 노드를 거쳐 가는 경우 / 1, 3, 4번 노드에서 2개의 노드를 뽑는 경우 고려
- (1,3), (1,4), (3,1), (3,4), (4,1), (4,3)으로 6가지 경우가 있음
- 하늘색의 값들을 갱신함
- D13은 원래 무한이었는데 D12 + D23 = 11과 비교해서 11로 갱신

step 3.
- 3번 노드에 대해 동일한 과정 반복
- 1,2,4,번 중에서 두 쌍을 선택하는 경우 6가지를 확인해 갱신 (하늘색 부분)

step 4.
- 4번 노드 처리

최종 결과
- 노드 개수가 4개이므로 step 4까지 알고리즘 수행
- 테이블 내용은 모든 노드에서 모든 노드로 가는 최단 거리 정보를 표현함
- D13(첫번째 행의 세번째 열)은 8이라는 값을 가지고 있는데, 이는 1번 노드에서 3번 노드로 가는 최단 거리가 8이라는 의미
- 시간 복잡도는 O(N^3)
INF = int(1e9) # 무한을 의미하는 값으로 10억을 설정
# 노드의 개수 및 간선의 개수를 입력받기
n = int(input())
m = int(input())
# 2차원 리스트(그래프 표현)를 만들고, 모든 값을 무한으로 초기화
graph = [[INF] * (n + 1) for _ in range(n + 1)]
# 자기 자신에서 자기 자신으로 가는 비용은 0으로 초기화
for a in range(1, n + 1):
for b in range(1, n + 1):
if a == b:
graph[a][b] = 0
# 각 간선에 대한 정보를 입력 받아, 그 값으로 초기화
for _ in range(m):
# A에서 B로 가는 비용은 C라고 설정
a, b, c = map(int, input().split())
graph[a][b] = c
# 점화식에 따라 플로이드 워셜 알고리즘을 수행
for k in range(1, n + 1):
for a in range(1, n + 1):
for b in range(1, n + 1):
graph[a][b] = min(graph[a][b], graph[a][k] + graph[k][b])
# 수행된 결과를 출력
for a in range(1, n + 1):
for b in range(1, n + 1):
# 도달할 수 없는 경우, 무한(INFINITY)이라고 출력
if graph[a][b] == 1e9:
print("INFINITY", end=" ")
# 도달할 수 있는 경우 거리를 출력
else:
print(graph[a][b], end=" ")
print()